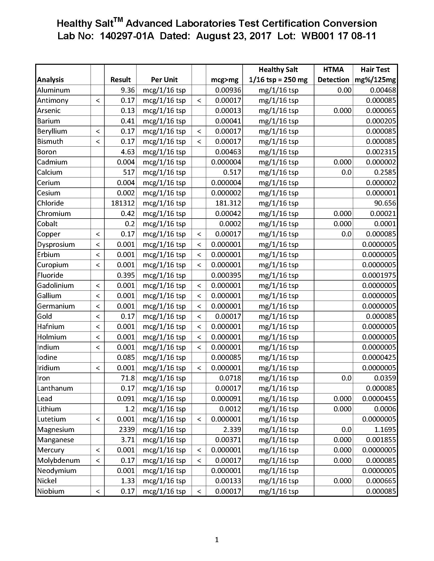
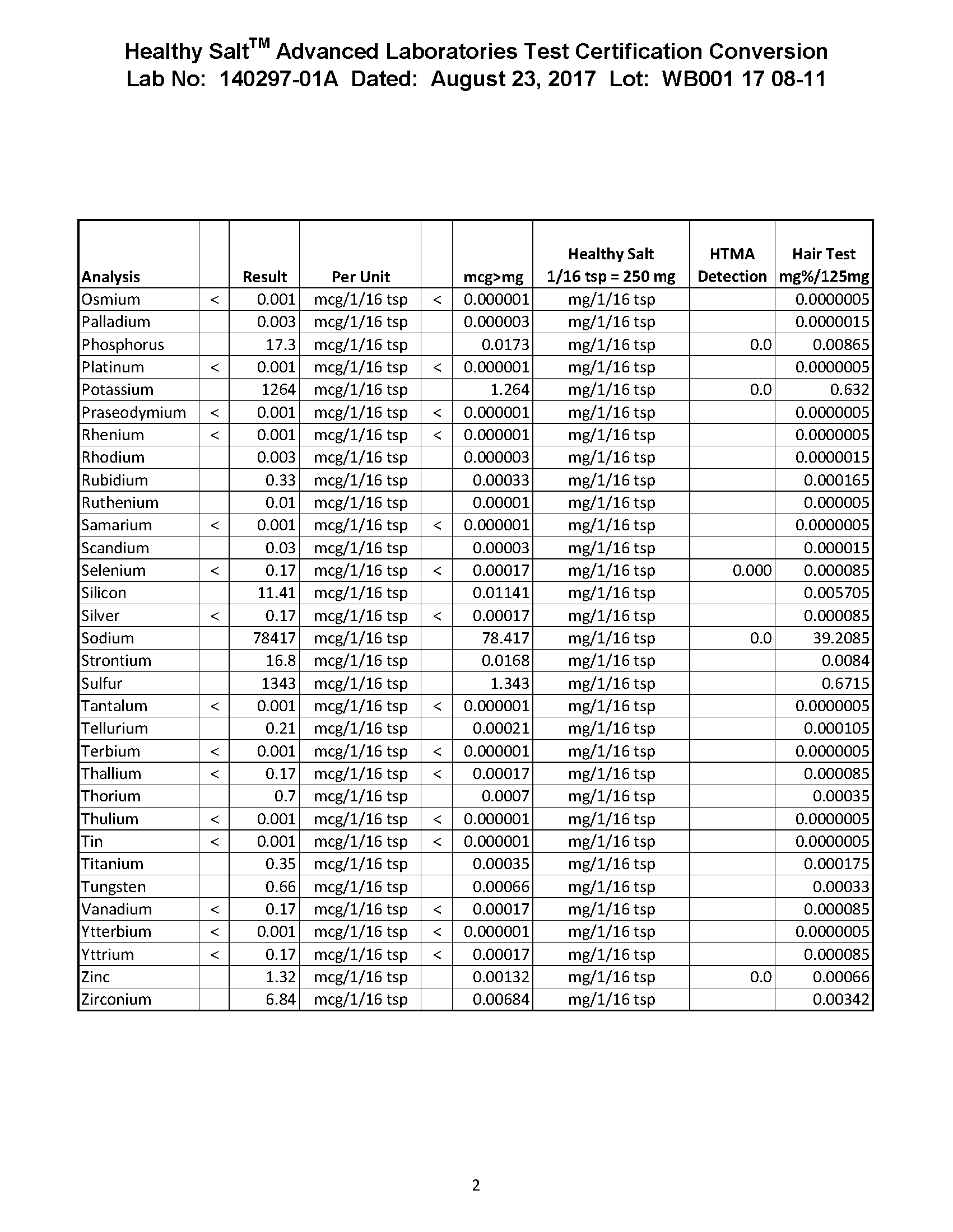
Healthy Salt Test Certificate Conversion

Home/Store/Product Testing/Healthy Salt Testing/Healthy Salt Test Certificate Conversion

  • Search Products
  • My Account
  • Track Orders
  • Favorites
  • Shopping Bag
Powered by Lightspeed
Display prices in:USD
Skip to main content
Creatrix Solutions
Air Purifiers
Enema Kits
Exercise
Ozone
Salt
Saunas
Skin Care
Contact
About
Other
Menu

creatrixsolutions

Terms of UsePrivacy PolicyShipping & Payment InfoReturn PolicyReport Abuse
Powered by Lightspeed